Zoom sur la lécithine
La lécithine est un terme générique désignant un groupe de substances lipidiques (graisses). Elle fut découverte par le Français Nicolas Gobley en 1845 qui était chimiste et pharmacologue. À la suite de ses travaux sur des œufs d’oiseaux et de carpe en particulier, il a montré que la lécithine pouvait être extraite des jaunes d’œufs et créa le nom de lécithine, à partir du grec lekhitos, qui signifie littéralement jaune d’œuf (1).
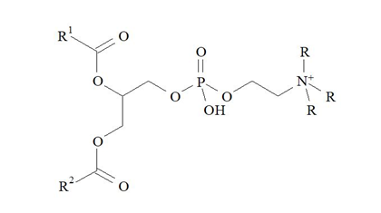
La structure chimique fut mise à jour en 1874. C’est un ensemble de composés chimiques. Une définition précise a été donnée par l’IUPAC (Union internationale de chimie pure et appliquée, organisation internationale de référence pour la nomenclature en chimie), les lécithines sont des esters choliques d’acides phosphatidiques dont la formule générale est la suivante :

La structure chimique fut mise à jour en 1874. C’est un ensemble de composés chimiques. Une définition précise a été donnée par l’IUPAC (Union internationale de chimie pure et appliquée, organisation internationale de référence pour la nomenclature en chimie), les lécithines sont des esters choliques d’acides phosphatidiques dont la formule générale est la suivante :
La structure résulte d’un assemblage de trois résidus : de droite à gauche, le résidu amine de la choline [où R = groupe méthyle et la formule de la choline est : (CH3)3 N+ CH2-CH2OH, le résidu phosphate de l’acide phosphatidique, le résidu du glycérol (propan-1,2,3- triol) et les résidus de deux esters d’acide gras ( par exemple pour R1 : le groupe oléoyle qui est une chaîne carbonée insaturée à 18 atomes de carbone, et pour R2 : le groupe palmitoyle qui est une chaîne carbonée saturée à 16 atomes de carbone). Le puzzle est donc terminé et on comprend donc que ces composés sont appelés des phosphatidylcholines (2). La phosphatidylcholine est le composé que l’on trouve à 70 % dans le cas des œufs, mais seulement à 25 % dans l’huile végétale de soja (3).
Les lécithines sont des tensioactifs en raison de leur structure chimique. En effet elles comportent une tête hydrophile (résultant principalement de l’ion ammonium quaternaire) et une queue lipophile qui résulte des deux longues chaines d’acides gras, ce qui leur donne un rôle d’agent émulsifiant. La réalisation de la mayonnaise utilise cette propriété : le jaune d’œuf est d’abord introduit avant d’ajouter de l’huile par petites quantité tout en agitant. C’est le même principe qui est utilisé pour la fabrication du chocolat.
Pour fabriquer du chocolat on ajoute du sucre à un mélange de beurre de cacao et de pâte de cacao. Un chauffage et un broyage réduisent les grains de sucre jusqu’à obtenir une dimension très petite, de l’ordre d’un dixième de millimètre, et ce n’est qu’après avoir ajouté des lécithines qu’on obtient une pâte de chocolat (4).
Par ailleurs, les mousses liquides sont des systèmes dispersés constitués de bulles de gaz dans une phase liquide. Cette dernière permet de réaliser des mousses aqueuses utilisées dans le domaine agroalimentaire : les meringues ou les émulsions de mousse de lait donnent une mousse aérée, tandis que les préparations pâtissières nécessitent une mousse plus dense. Là aussi, l’ajout d’émulsifiant se révèle utile. En effet, les lécithines sont capables de s’adsorber rapidement à l’interface gaz-liquide en réduisant la tension superficielle et en structurant des films liquides séparant les bulles. Tout récemment (en 2025) des mousses d’huile végétales de soja ont été obtenues avec de la lécithine de soja dissoute dans de l’huile de … soja en particulier ! Ceci permet d’obtenir notamment une nouvelle texture alimentaire créant une plus grande sensation de douceur (5).
Bien que caloriques (80 calories/g, environ350 J/g), les lécithines de soja sembleraient avoir des effets bienfaisants pour la santé, notamment pour réduire le taux de cholestérol. Cependant l’origine des lécithines doit être indiquée pour les personnes allergiques au soja et aux œufs.
Depuis 1990, la production des lécithines est principalement issue de l’extraction des graines de soja. Elle est conforme à la norme ISO 22000 et est inscrite au règlement de la Communauté européenne (CE n°1333/2008) comme additif alimentaire E322. Le marché mondial de la lécithine de soja a été de 800 millions de dollars en 2024.
Bibliographie
(1) À propos des lécithines, P. Avenas, L'Actualité chimique N°506 (Septembre 2025), p. 3
(2) Question sur les lécithines, H. This, Encyclopédie de l'Académie, sur le site de l’Académie de l’agriculture de France, fihce complétée par une vidéo Les lécithines expliquée par Hervé This sur YouTube.
(3) Lécithine sur le site de Wikipedia
(4) La construction des aliments : une question de chimie., M. Anthore et M. Axelos, Colloque Chimie et alimentation, Fondation de la Maison de la Chimie (octobre 2009)
(5) Mousses d’huiles végétales : des mécanismes de stabilisation aux applications alimentaires, A.L. Vameau et A. Saint-James, L'Actualité chimique, N°511 (février 2026) p. 31
Crédit illustration : pot lécithine E322, luchschenF/AdodeStock