Gerty Theresa (1896-1957) et Carl Ferdinand Cori (1896-1984), biochimistes
C’est un couple qui, en 1947, reçoit la moitié du prix Nobel de physiologie ou médecine. L’autre moitié revient à un argentin Bernardo Houssay (1887-1971). Gerty Theresa Radnitz Cori et son mari Carl Cori sont récompensés pour leur découverte du processus de conversion catalytique du glycogène.
Gerty Theresa Radnitz et Carl Ferdinand Cori sont nés à Prague la même année, en 1896. Gerty et Carl entreprennent des études médicales à l’Université allemande de Prague. Ils obtiennent tous les deux un doctorat en 1920, puis se marient et partent s’installer à Vienne.
En 1922, Carl accepte un poste de biochimiste à l’Institut national pour l’étude des maladies malignes à Buffalo, État de New-York sur le lac Érié près des chutes du Niagara. Gerty est nommée assistante en pathologie.
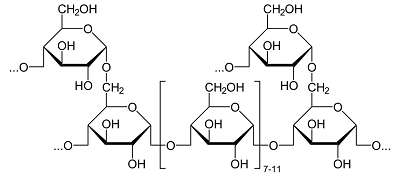
Ils poursuivent leurs recherches de biochimie sur le métabolisme du glucose. Claude Bernard (1813-1878) avait montré, dès 1850, que le glucose est transformé dans l'organisme en un glucide complexe le glycogène. Il est stocké dans le foie et les muscles, prêt à être converti en glucose quand le corps a besoin d'un apport supplémentaire d'énergie. Les glucides ou « sucres » sont des molécules organiques riches en énergie. On distingue les sucres lents, comme l’amidon et le glycogène, et les sucres rapides comme le glucose, le fructose, le lactose…
Gerty et Carl Cori ont étudié l'absorption des sucres dans les intestins et les effets de l'adrénaline et de l'insuline sur leur métabolisme. Ils démontrent que l'adrénaline augmente le taux de conversion du glycogène du foie en glucose, un effet inhibé par l'insuline.

Glycogène. Wikimedia Commons. Domaine public
Le premier indice est venu en 1935, quand ils ont découvert un composé inconnu dans le muscle de grenouille, un an plus tard, ils ont réussi à isoler le glucose-1-phosphate, un intermédiaire clé dans le métabolisme du glucose. Par voie enzymatique, le phosphate s’associe au glucose pour former le glucose-1-phosphate. Ce nouveau composé, encore appelé « ester de Cori », est converti rapidement en glucose-6-phosphate par une enzyme nommée phosphoglucomutase, ce processus est réversible.
Même si la véritable voie de la glycolyse a pris plusieurs années à être élucidée, la valeur du travail de Gerty et Carl Cori est indéniable. Surtout, ils ont souligné le rôle crucial des phosphates dans la fourniture d'énergie cellulaire, dont les détails devaient bientôt être mis au point par Fritz Lipmann (1899-1986).
Les indications sur la chimie du glycogène et des enzymes concernées par ses transformations biologiques ont permis à Gerty Cori en 1953, de déterminer la nature des maladies de stockage du glycogène chez les enfants. Elle a reconnu deux groupes de troubles, le premier impliquant des quantités excessives de glycogène normal et l'autre caractérisé par la présence d’un glycogène anormalement ramifié.
Le 26 octobre 1957, Gerty meurt d'une insuffisance rénale, à Saint-Louis. Un cratère sur la Lune porte son nom. Après la mort de sa femme, les recherches de Carl Cori portent sur l'action physico-chimique des enzymes impliquées dans la dégradation du glycogène. Il devient membre correspondant étranger de l’Académie nationale de médecine de Paris le 13 mars 1951 dans la 4e section (sciences biologiques, physiques, chimiques et biologiques), lors de la séance du 5 novembre 1985, il est rappelé que « Carl Cori a laissé un grand nom dans le domaine de la biochimie et a fourni une contribution essentielle à la connaissance de la glycolyse ».
Carl Cori décède à Cambridge dans le Massachusetts en octobre 1984. L’héritage durable du couple inclut la formation de générations successives de chercheurs - pas moins de six autres futurs lauréats du prix Nobel (biochimie, physiologie ou médecine ) ont travaillé avec Carl et Gerty Cori dans leur laboratoire de l'Université Washington à Saint-Louis : Christian de Duve (1917-2013), Arthur Kornberg (1918-2007), Edwin G. Krebs (1918-2009), Luis F. Leloir (1906-1987), Severo Ochoa (1905-1993), et Earl W. Sutherland (1915-1974).
Pour en savoir plus
- Biographie de Gerty Cori sur le site NobelPrize.org
- Biographie de Carl Cori sur le site biographs.org
- Carl Ferdinand Cori et Gerty Theresa Cori sur le site https://www.sciencehistory.org Science History Insitute)
Consultées le 25 novembre 2025
Crédit illustration : Gerty Theresa Radnitz Cori (1896-1957) and Carl Ferdinand Cori (1896-1984), Smithsonian Institution sur le site Wikimedia Commons